下面用三个篇章解释
# 视频篇
# 漫画篇



图片提取自 TDK 株式会社
# 文字篇
1、电容器与电容
电容器(英文:capacitor,又称为 condenser)是将电能储存在电场中的被动电子元件。电容器的储能特性可以用电容表示。在电路中邻近的导体之间即存在电容,而电容器是为了增加电路中的电容量而加入的电子元件
电容器包括二个电极,二个电极储存的电荷大小相等,符号相反。电极本身是导体,二个电极之间由称为介电质的绝缘体隔开。电极的金属片通常用的是铝片或是铝箔,若用氧化铝来做介质的就是电解电容器。电荷会储存在电极表面,靠近介电质的部分。由于二个电极储存的电荷大小相等,符号相反,因此电容器中始终保持为电中性
2、原理
电容器的电容(C)是测量当电容器两端的电势差或电压(V)为单位值时,储存在电容器电极的电荷量(Q):

上式的意义是,在一个具有 C 法拉的电容两端跨接 V 伏的电压时,该电容的一个极板上就有 Q 库仑的电荷存储,而另一个极板上也有 -Q 库仑的电荷存储;其电荷量的单位为 -- 库仑(C),则此电容器的电容量单位为 -- 法拉(F)
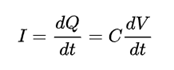
3、电容的定义式
由于电容器的总电场,在电容器两端会出现电压。电压 V 和电容器一端的绝对电荷量 Q 成正比,而 Q 是流过电容器的电流对时间的积分。其数学式如下:

其中:
I 是流过电容器的电流,单位为安培。
dV /dt 是电压对时间的微分,单位是伏特 / 秒。
C 是电容器件的电容值,单位是法拉。
4、电容单位和转换
电容的单位是法拉,简称 “法”,单位符号为 “F”,是国际单位制导出单位。一般来说,1 法拉算是很大的电容,大多数用于电子电路的电容器,其电容会小于法拉几个数量级
常用的单位有:微法拉(microfarad,μF)、纳法拉(nanofarad,nF)、皮法拉(picofarad,pF)
单位转换:

5、电容种类
・瓷片电容(可以耐高压,通常用作安规电容)
・积层陶瓷电容(其标准化封装,尺寸小,适用于自动化高密度贴片生产)
・铝电解电容(优点:电容量大、额定电压高、便宜;缺点:寿命较短、温度特性不好、ESR 和 ESL 较大)
・钽电容(频率特性及温度特比比铝电解电容要好,但介电吸收及漏电流都较大)
一般地,陶瓷与聚酯薄膜类用于大多数不太重要的电路中;钽电容用于需要较大电容量的场合,而电解质电容则用于电源滤波的场合
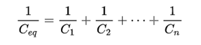
6、电容的串联与并联
· 并联的数个电容有相同的电压。其总电容(Ceq)如下:


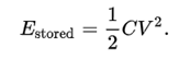
一般而言,电容并联的目的是增加储存的总能量。电容储存的能量如下:

· 串联的数个电容会流过相同电流,但各个电容的电势差(电压)可能不同,而电容的电压的和会等于总电压,电容串联后的电容值如下:


・在电容并联时,电容电极的有效面积变大,因此电容值增加;而在电容串联时,相当于电容电极的距离变大,因此电容值减小
・电容串联后,电容减小了,但是耐压能力提高了,所以要承受较高的电压,可以把电容串联起来;电容并联后,电容增大了,耐压能力并没有提高,所以在需要大电容时,可以把电容并联起来
7、电容的代换注意
・电容并联时,每个电容所承受的工作电压相等,并等于总电压;因此,如果工作电压不同的几只电容并联,必须把其中最低的工作电压作为并联后的工作电压
・电容串联后,电容的工作电压在电容量相等的条件下,等于每个电容的工作电压之和;故串联后的电容工作电压升高
8、电容选型主要参数
・电容值
・允许误差
・额定电压(一般要求比输入电压高 20%)
9、容性负载电压电流的超前滞后
首先要提醒,相位的概念是针对正弦信号而言的,直流信号、非周期变化信号等都没有相位的概念
由于 Sin [ωt] 在求导或积分后会出现 Sin [ωt ± 90°],所以对于接上了正弦波的容性负载,通过接上理想的直流电压表、直流电流表,可以观察到波形超前滞后的现象

如果还表现的还不够生动,可以用动态图演示,其用红色表示电压,蓝色表示电流:

电压的变化滞后于电流,电流的变化超前于电压,所以若电容器通入交流的信号,相角为 90 度,亦即电流领先电压 90 度。电压的大小和电流成正比,和频率和电容量 C 的乘积成反比

用不同的颜色描述电压的大小,蓝色 > 黄色 > 红色;用不同的粗细和箭头描述电流的大小和方向,电流最大时电容电场能最小
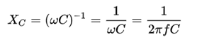
10、容抗
容抗的概念反映了交流电可以通过电容器这一特性,交流电频率越高,容抗越小,即电容的阻碍作用越小。容抗同样会引起电流与电容两端电压的相位差;当频率等于零,容抗无限大,即直流电不能流过电容器。
容抗可由下面公式计算而来:

在交流电的复数分析中,容抗表示为:

其中
・j 是复数单位
・Xc 是容抗,单位为欧姆
・ω = 2πf 是角速度,单位为 弧度 / 每秒
・f 是频率,单位为赫兹
・C 是电容,单位为法拉
11、电容和频率的关系
・电容值越大,频率点就越低
・频率点和电容的材质有关系
・频率点和温度有关系
所以,通常我们说:电容 “通高阻低”,不能一概而论,要根据实际应用,和电容相关手册
12、电容的 "通交阻直" 分析
・电容器接在交流电路中,由于交流电电压的大小和方向随时间不断变化,致使电容器进行反复充放电,电路中相应不断出现交流电流,使得自由电子通过电路在电容器的两个极板上来回运动,自由电子的相对运动形成电流,因此,交流电流能通过电容器,即通交流;这里所指的交流电流是电容器反复充放电所形成的电流,并非电荷直接通过电容器中的介质。
・电容器接通直流电源时,仅仅在刚接通的短暂时间内发生充电过程,只在这一短暂过程电流流过电容器;此后由于直流电源电压恒定不变,电容器两端电压也恒定不变,电容器与电源负极相连的极板上负电荷占多数,并马上达到电路中各个点的电势都相等,没有电位差,因此电容器中不会有电流流过,相当于电容器把直流电流隔断,所以电容器可以起到隔直流的作用。
根据电容的电抗特性,电容可近似地看成一个依赖频率的电阻元件,因此,所谓的 “通交阻直” 其实更多的是反应频率的效果
13、电容的特性总结
・隔直流通交流,通高频阻低频
・电容两端的电压不能够突变,电流能突变
・大容值电容滤低频噪声,小容值电容滤高频噪声
・电容在充放电过程中并不消耗能量
14、电容器的主要用途
・电源滤波(几乎所有的电源电路中都用到,通过电容以滤除直流电源中不需要的交流成分,使直流电变平滑)
・去耦和旁路(基于的是电容的阻抗随频率升高而降低的原理)拓展一下:去耦电容和旁路电容都是起到抗干扰的作用。对于同一电路来说,旁路电容是把输入信号中的高频噪声作为滤除对象,把前级携带的高频杂波滤除;而去耦电容也称退耦电容,是把输出信号的干扰作为滤除对象。去耦电容用在放大电路中不需要交流的地方,用来消除自激,使放大器稳定工作
・滤波器(低通滤波器、高通滤波器)
・LC 谐振电路(带通滤波、陷波滤波)
・微分电路和积分电路
・电路耦合
15、RC 无源滤波器
・低通滤波器

容许低频信号通过,但减弱(或减少)频率高于截止频率信号通过的滤波器。对于不同滤波器而言,每个频率的信号的减弱程度不同
・高通滤波器

容许高频信号通过、但减弱(或减少)频率低于截止频率信号通过的滤波器。对于不同滤波器而言,每个频率的信号的减弱程度不同
高通、低通滤波器利用电容在频率响应上的特点,将一个电容或电感与一个电阻相配合,产生一个分压器,以将不需要的分量衰减掉,而容许所需的分量通过